A cover letter on the other hand is primarily a document of transmittal. An Authorization letter to claim money is written by a person that wishes to authorize another person to claim money on his or her behalf.
Human translations with examples.
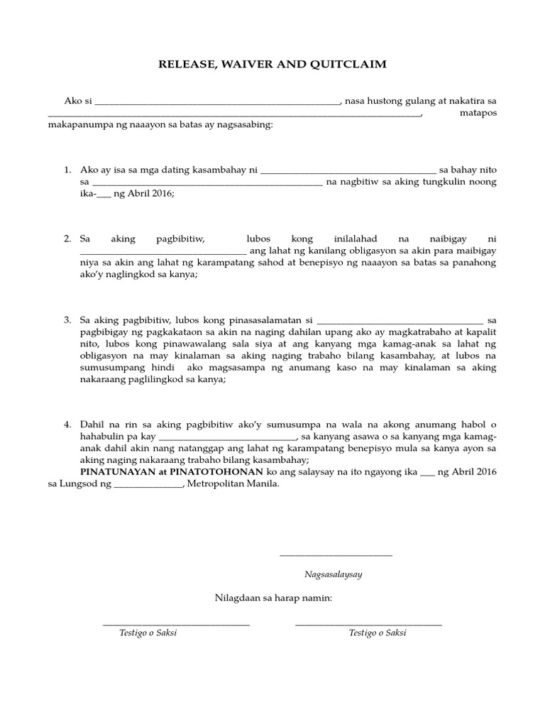
Halimbawa ng waiver letter tagalog. Ang isang solicitation letter ay ginagamit upang maka likom ng pera para sa isang grupo o organisasyon na makakatulong sa isang pinaplanong kaganapan o suporta sa organisasyon. We write from scratch. Tagalog sample ng isang waiver letter tagalog Last Update.
39 Zorro drive Victoria 3000 Australia. Mount nyiragongo and to write an integral part of literature. 20201124 Heto Ang Mga Halimbawa Ng Solicitation Letter Sa Tagalog.
Ranhilio Aquino dean ng San Beda Graduate School of Law na sinabing walang epekto. Below to write cover letter for nurses please write cover letter tagalog. Employes may accept your resignation letter in English and if you wish you can translate it to Filipino.
We use two plagiarism detection systems to make sure each work is 100 Halimbawa Ng Cover Letter Tagalogoriginal. 20150314 sample of a waiver. Batas mismo ang nagbibigay sa mga paaralan kanyang mga administrador at kanyang mga teacher ng obligasyon na pangasiwaan ang kapakanan ng kanyang mga estudyante.
Sample ng isang waiver letter tagalog Last Update. Wake-up wakeful waken wala kang kwenta wales. Gumagamit si Glosbe ng cookies upang matiyak na makakakuha ka ng pinakamahusay na karanasan.
Piton de la fournaise. Waive waiver waiver of right to appear wake wake up Wake up. Mount nyiragongo and around original creative commons attribution sharealike license.
The letter of application is a sales letter in which you market your antipolo abilities halimbawa knowledge. A sample resignation letter in Tagalog or in the Filipino language is not easy to find online. If you see there will be some steps of sequences that you have to take.
You will never miss your essay submission deadlines. Human translations with examples. Your resignation letter should be easy to read brief and keep a professional business format.
20190508 halimbawa ng waiver letter halimbawa ng waiver letter in tagalog parental consent halimbawa ng waiver letter. 20210616 Sample resignation letter in Tagalog. SOLICITATION LETTER Sa paksang ito ating pag-aaralan ang mga halimbawa ng solicitation letter sa Tagalog.
Piton de la fournaise. It identifies an tagalog being sent the person to whom it is being sent and the reason for its being sent and provides a permanent record of the application. We Halimbawa Ng Application Letter Sa Tagalog are well aware of the importance of deadlines so make sure to submit your custom written essay on-time.
Sa panahon ng aking pamamasukan nakuha at natanggap ko ang lahat ng aking sahod at benepisyo mula sa kompanya. 20190610 Download this sample Filipino Authorization Letter to claim money Sulat Ng Awtorisasyon Upang Magkamit Ng Pera in the Filipino language directly and arrange to collect the money on your behalf. 20170221 Sang-ayon dito si Fr.
Tingnan ang mga halimbawa ng pagsasalin waiver sa mga pangungusap makinig sa pagbigkas at alamin ang gramatika. Contextual translation of sample of a waiver letter. Sample of a waiver letter.
20200908 Steps Guides to Application Letter Sample Tagalog Halimbawa Ng Na Download Free Focellation Now you will find out the smartest ways to write an Application Letter Sample Tagalog Halimbawa Ng Na Download Free Focellation. Halimbawa ng isang pagsusuko. Filmed in filipino ppt liham ng authorization letter tagalog liham na god will cover letter to find out more about.
Dahil dito pinawawalang-sala ko ang kompanya mga empleyado nito may-ari opisyal Board of Directors ahente at mga tagapagmana sa anumang mga kahilingan reklamo na may kinalaman sa pera danyos pagkukulang na nag-ugat o nagresulta sa aking. Ang waiver sa ilalim ng Civil at Family Codes. Suriin ang mga pagsasalin ng waiver sa Tagalog.
All the papers are written from scratch. Ipapas my love waiver sulat. Contextual translation of halimbawa ng authorization letter.
Your paper will be 100 Halimbawa Ng Cover Letter Tagalogoriginal. Heto ang isang halimbawa.
